第一节 特大面积烧伤病例(1)治疗记录
作者:徐荣祥 出版社:中国科学技术出版社 发行日期:2009年7月
集中趋势(central tendency)指的是一个计量资料中所有观察值的中心位置。描述集中趋势的主要指标有算术均数(arithmetic mean)、几何均数(geometric mean,G)和中位数(median,M),这些指标也称位置度量指标(measerus of location)。
一、算术均数
平均值是表示一群性质相同变量值的集中趋势或平均水平。例如,欲了解某地成人男子红细胞的正常水平,假如我们只测定一小部分样本(少数人),其结果显然不能代表总体水平,只有测量大量该地区健康男性或女性红细胞数,求出一个平均值,方能比较切合实际的反映出男性或女性血液红细胞的真实情况。因此,平均数应具有两个基本特征:一个是应当有一群大的样本数量,第二个是具有同性质。用马克思的话来解释,“平均量只是种类相同的许多不同的个别量的平均”。如果不考虑性质相同这一条件,盲目计算变量值的平均数,不但不能正确说明被研究事物的真相,相反还会导致错误的结论。平均值的计算方法:
(一)直接计算法
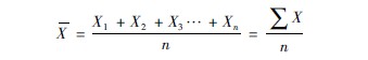
直接计算法也称算术均数,适用于小样本均数计算。公式(361)为:

X为平均数,x为变量数,n为变量值的个数,∑表示总和的符号,∑x为各变量的总和。
示例361某医生测量了10例小儿烧伤患者的体重分别为:10、12、14、15、24、17、33、35、28、35kg,求他们的平均体重?
【解】根据公式(361),计算如下:

答:他们的平均体重为223kg。
(二)加权法
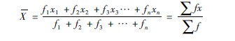
也属于算术均数,适用于大样本均数计算。公式(362)为:

式中X1,X2,X3,…Xn分别为各组段的组中值,即本组段的下限与相邻较大组段的下限相加除以2,如下例(表361)中“108~”组段的组中值X1=(108+110)/2=109,余类推。这里的f起到了“权数”的作用,它权衡了各组中值由于频数不同对均数的影响。即频数多,权数大;频数少 ,权数小,作用也小。因此,本法称为加权法。
组中值计算公式(363)为:

示例362某医院测检了110例特重度烧伤病人血液血红蛋白含量,其浓度范围在115~150g/L之间,频数分布情况见表361,利用组中值方法计算他们的平均血红蛋白浓度。

【解题步骤】
1根据110例病人的检测结果,以2g/L差额划分等级,即组别依次为:108、110、112、…132等13个等级。
2将所在等级范围内的例数作为频数,如在108~110之内者共1例,其频数为1。
3根据公式363计算组中值:仍以108~110组为例,本组段下限为108,上限为110,108+110/频数=218/2=109。
4因为fn=频数×组中值,以此计算各组的血红蛋白总量。
5将各组的组中值相加,求出∑f。
6将以上计算结果汇制表361中。
7根据公式(362),求X值:

8结果:110例病人的血红蛋白平均值为11995g/L。
(三)简捷法
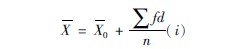
简捷法是将频数表上的数值简化成最简单的自然数,再按公式(364)计算均值:

式中X为均数,X0为假设均数,i为组距,f为变量值的频数(即个数),d为差数,n为观察值数。
【解题步骤】
1仍以例362为例,编制频数表362。
2计算各组的组中值:计算公式为363,第一组的组中值为(108+110)/2=109。其他组的组中值计算方法与此法相同。
3选择一个组中值作为假设均数:为了便以计算,宜选频数最多的一组,本例第七组频数多达21,应以七组的组中值(21)为假设均数。
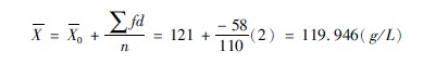
4每组的组中值都减去假设均数0,然后除以组距(组距为2),把各组的组中值简化为最简单的自然数(差数d)。第七组组中值为121,假设均数为121。d=(121-121)=0,第八组d=(123-121)/2=1,其余类推。从表中的计算结果可以看出,选定为假设的一组为0,比它小的各组段顺次为-1,-2…比它大的各组段顺次为1,2,3,…
5根据表362中的数据,计算得:
代入公式(364),得:

简捷方法的计算结果与加权法计算结果相似。


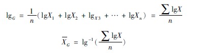
二、几何均数
几何均数(geometric mean,G)用于处理数据中少数数值过大的资料,或它们之间相差较大,或为倍数关系。其直接法计算公式为(364):

G为几何均数,X1,X2…为各变量值,n为总频数。上式可以写成对数形公式(365)和加权公式(366):

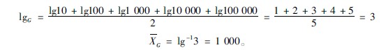
示例363:5例病人血清抗体效价分别为1∶10、1∶100、1∶1000、1∶10000、1∶100000,求其效价平均值。
【解题步骤】
将题中数字代入公式(365):

答:病人血清抗体效价平均值为1∶1000。
三、 中位数数法
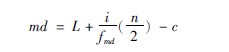
中位数(medi,M)指一组按大小次序排列的变量值,正中间所处的数值为中间数。当一组变量值中,大部分比较集中,仅有少数偏离一侧时,宜用中位数表示它们的集中趋势。当变量值的个数n为奇数时,中位数所在位次为(n+1)/2;当n为偶数时,位次居中以两个变量值的平均数即为中位数。公式为(367):

Md为中位数,L为中位数所在组的下限,i为中位数所在组的组距,fmd为中位数所在组的频数,n为总额数,c为中位数所在组以前的累计频数,累计频数为每组例数与其之前各组例数之和。
示例364表363中记录了145例烧伤休克期病人伤后住院接受治疗的时间(见表363),问他们休克期住院接受治疗时间的中位数是多少?

【解题步骤】
从表363中看出,总频数145的一半为725,“~18h”组的累计频数为101,大于725,因此,该组就是中位数所在组。
根据公式(367),计算中位数:

(“~18h”组的时间下限应大于12,为计算方便选为12)
答:该组病人休克期住院接受治疗时间的中位数是135小时。









