第三节 临床常用率的公式与计算
作者:徐荣祥 出版社:中国科学技术出版社 发行日期:2009年7月
1临床常用率的基本公式为
率(rate)又称频率指标,说明在一定条件下,某现象发生的频率或现象。
基本公式为:

2发病率
指一定时期内某集团人口平均每百(或千、万、十万)个发生某疾病的新病例数。计算公式为:

示例335某地区2004年第一季度流行性感冒的发病人数为930人,该时期平均人口为10 008,求该地区流感发生率?
根据公式(339),计算结果为:

答:该地区2004年第一季度流行性感冒的发病率为929%。
3患病率
表示某一时间点上某集团人口中(常以百、千、万、十万计)患有某病的例数。该公式常用于疾病普查工作,计算公式为:

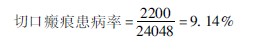
示例336某地区15所医院普查了24 048例作过手术病人的切口情况,结果有2 200人为瘢痕愈合,问作过手术病人切口的瘢痕发生率是多少?
根据公式3310(本调查中的瘢痕发生率是以瘢痕有无为基准计算的),计算结果为:

答:手术切口瘢痕患病率为9148%。
4合幷伤发生率
指一批或一组主要外伤病人所伴随的其他外伤(如烧伤合并骨折)的发生情况。
计算公式为:

5并发症发生率
指一批或一组主要疾病病人所伴随的其他疾病(如烧伤并发休克、感染、电解质紊乱等)的发病情况。公式和计算方与公式3311雷同。但合并伤与并发症是两个不同的概念,前者是与主要病症相伴发生的,后者是在治疗主要病症过程中发生的。
6死亡率
死亡率是衡量某地某年总人口中,因疾病所致死亡水平高低的指标,即某年每千人口的死亡数,通常指普通死亡率(总死亡率)。
计算公式为:

7病死率
病死率与死亡率是两个不同的概念,病死率表示患病人中发生死亡例数的频度,即用患病人数作分母,死亡率是以人口总数作分母。
计算公式为:

示例337某医院2004年共收治烧伤病人450人,死亡9人,问该院烧伤病人的病死率是多少?
根据公式(3312),计算结果为:

答:该院2004年烧伤病人的病死率为20%。
从上例看出,研究某一疾病的病死率时,由于不受时间限制,所以只要将所观察的一定数量的病人全部疗程进行完毕,就可以很容易地计算出它的病死率。但是在计算住院科别病死率时,因受时间上的限制,用公式(3313)的计算结果不能反映出该时期的真正病死率。因此必须用校正病死率公式计算。
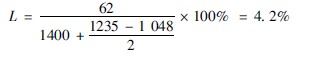
校正病死率公式为:

L为代表病死率,d为代表全年死亡人数,a为代表年初在院人数,b为代表全年入院人数,c为代表全年出院人数。
示例338某医院1996年初在院人数1 400人,全年入院人数1 235人;出院人数1 048,死亡人数为62,求该院1996年的病死率?
【解题步骤】
如根据一般公式计算,该院病死率为59%,而根据校正公式3314计算则为:
因为1996年全年死亡人数(d)62人;1996年初在院人数(a)1 400人;1996全年入院人数(b)1 235人;1996全年出院人数(c)1 048人。计算结果为:

答:该院1996年病死率为42%(其结果与采用一般公式计算结果相差18%)。
8治愈率
是评价疗效的一个常用指标,指每百个治疗病人中治愈的人数。治愈率可细分为某病治愈率,出院病人治愈率,某疗法治愈率等,但计算公式相似:

示例339某医院本月出院人数274人,其中治愈者256人,问出院病人的治愈率是多少?
根据公式3315:

答:该院本月出院病人治愈率为934%。
9感染率
指某一人群在某一时点上平均每百(千、万)个人口中感染某种病原体的人数。公式为:

10误诊率
表示在诊断中发生错误的频数,常从以下两个方面进行评价:①门诊诊断与住院诊断的差异;②临床与病理诊断的差异。公式为:

示例3310临床诊断深Ⅱ度创面293例,与病理诊断一致者280例,误诊者13例,求误诊率是多少?
根据公式:

答:深Ⅱ度创面临床诊断误诊率为44%。
11漏诊率
表示在诊断中发生遗漏的频率。计算公式与误诊率公式雷同。
12危险度(degree of risk)
表示某因素与某现象发生之间的联系强度,其现象可表现为疾病的发生、复发、死亡等。主要包括相对危险度、归隐危险度、人群归因危险度与标准死亡比。其重点内容将在相对危险性章节中讨论。









