第二节 相对危险度公式的描述与应用

作者:徐荣祥 出版社:中国科学技术出版社 发行日期:2009年7月

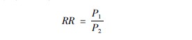
一、相对危险度与示例分析
RR通常用于前瞻性研究。公式中的P1和P2分别表示同一事件在两种不同情况下的发生率。一般用P1表示暴露在危险因素下某事件的发生率;P2表示未暴露在危险因素下某事件的发生率,两者之比值具有倍数关系。事件指的是诸如患病、死亡、感染、发病等。
相对危险性(RR)的计算公式(351)为:

示例351某医生调查了150例成年大面积烧伤患者,其中100例伤前有胃十二指肠溃疡病史,烧伤后发生出血者10例,50例无溃疡病史者烧伤后发生出血者2例,试计算有溃疡病与无溃疡病烧伤患者消化道出血的相对危险度。
【解题步骤】
1先将题中的频数分布列入(表351)。

2分别计算溃疡组与无溃疡组的P1与P2值: P1=10/100=01(或10%);P2=2/50=004(或4%)。
3将P1与P2结果代入公式351,得:

4结果分析:烧伤前有溃疡病病史者消化道出血的相对危险度RR=25,这意味着有溃疡病病史者烧伤后消化道出血机会是无溃疡病病史者的25倍。
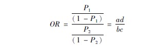
二、 比数比(OR)与示例分析
OR也称优势比,常用于回顾性研究。由公式(552)可以看出,它们只是两个比数相除,因此,称为比数比。比数比的重要意义在于当某事件的发生率(如发病率或患病率,或病死率)很小的情况下,1-P1≈1,1-P2≈1,从而OR≈RR。即在某事件发生率很小的情况下,比数比近似地等于相对危险度。此外,当OR=1时,一定会有RR=1,反之,当RR=1时,一定会有OR=1。
比数比(OR)的计算公式:为(352):

示例352某医生研究烧伤与职业的关系,共调查了2个工厂的职工,各100人,化工厂100人中有20人曾经发生过烧伤,纺纱厂100人中有5人曾经发生过烧伤,计算其比数比。
【解题步骤】
1将示例352中的数值汇于表352中:

2分别计算ad与bc:ad=20×95=1900,bc=80×5=400。
3计算OR:1900/400=475。
4结果分析:化工职业的烧伤发生机会是纺纱职业的475倍。
第三节OR值的χ2检验
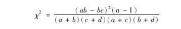
“病例-对照研究”是通过回顾方法比较病例和对照患者在患病前暴露于某种可能的危险因素方面的差异,分析该因素与疾病的可能关系。病例-对照研究中,如果病例组与对照组的暴露史只取暴露和非暴露两个水平,常用设计方法有两种,一个是成组的病例对照设计,另一个是配对的病例-对照设计,即1∶1配对设计。它们虽然都是采用四格表排列形式,但内容布局不一样(见表353和354)。

一、成组病例-对照研究
成组病例-对照研究也称成组资料,属于单因素分析。成组与对照研究病例多不是来自一固定人群,可能为门诊或病房病人,故无法计算发病率或死亡率,也难以计算RR值,只能用OR来估计RR值的大小,应采用比数比(OR)公式计算, 计算公式采用352,显著性检验公式为(353):

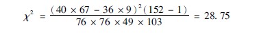
示例353某医生研究皮肤瘢痕癌与烧伤瘢痕的关系,资料汇于表355中。问烧伤瘢痕是否是构成烧伤瘢痕癌的危险因素?

【解体步骤】
1根据公式352,计算比数比(OR):

2比数比的假设检验:当OR=1时,认为瘢痕癌与烧伤瘢痕无关联。
3建立检验假设,确定检验水准:H0:总体OR=1;H1:总体OR≠1;α=005。
4计算Χ2数值:以公式(353)计算,得:

5结果分析:因本例χ2=2875,2875>χ20005(1)(788),故P<0005,比数比有非常显著意义,故可认为烧伤瘢痕发生癌变的危险性大于非烧伤瘢痕人群。
二、 配对设计资料分析
配对资料分析又称“1∶1”配对资料,也属单因素资料。当“病例-对照研究”是以一确定人群为对象(该确定人群包括了全部病例或全部病例的一个随机样本)时,可用以下公式计算其人群中暴露者与非暴露者人数,并将其作为分母,求出两组的发病率或死亡率,然后计算OR和进行显著性检验。

示例354某医生研究大面积烧伤采用“胃肠黏膜保护剂”预防胃出血的作用,资料汇于表356中。问大面积烧伤病人不用“胃肠黏膜保护剂”进行预防治疗,是否是大面积烧伤病人发生胃出血的危险因素?

【解题步骤】
1根据公式(354),求OR的值:

2比数比的假设检验:即检验总体OR与1之间的差别是否具有统计学意义。
(1)建立检验假设,确定检验水准:H0:总体OR=1; H1:总体OR≠1; α=005。
(2)计算检验统计量:根据表355数据,计算X2值:

3确定P值,作出推断结论:
查χ2界值表,因为自由度(n′)=1, χ2=672>χ2001(1)。按α=005的水准拒绝H0,接受H1,说明胃肠黏膜保护剂对大面积烧伤病人肠道出血具有保护作用,说明不用胃肠黏膜保护剂防治者发生肠道出血的相对危险性为保护治疗组的672倍。
三、 关于OR的95%可信区间的计算
OR计算值仅是一个总体参数,它所指的仅是一个面,而不是一个点,需要计算其95%的可信区间,计算公式为(356):OR1±196/Χ2
示例355:某医生研究户内烧伤与户外烧伤与吸入损伤的关系,结果见表357:

【解题步骤】
1根据公式(352)计算OR:

3因自由度为1,χ2>664,故P<001,比数比有非常显著意义,可认为暴露于室内环境发生吸入损伤的危险性比室外组为高。
4根据OR的95%可信区间的计算公式(356):OR的95%可信区间为:

199(1±196/1593)(即上下波动范围在142~279之间)。
示例356:某医生研究化工与非化工职业工人与烧伤的关系,调查资料汇于表358,问暴露于化工职业组工人发生烧伤的危险性是否高于非化工职业组?并计算其95%可信区间。

【解题步骤】
1根据公式(354)计算OR:

2根据公式(355)计算χ2值:

3因自由度为1,χ2>664,故P<001,比数比由非常显著意义,可认为暴露于化工职业发生烧伤的危险性比非化工组为高。
4根据OR的95%可信区间的计算公式(356):OR的95%可信区间为:

25(1+196/688)(即上下波动范围在126~496)