第六节 方差不齐时两小样本的均数检验
作者:徐荣祥 出版社:中国科学技术出版社 发行日期:2009年7月
所谓方差不齐,是指两组的标准差相差太大,若相差超过一倍,可以肯定为方差不齐,较精确的计算方法是F值计算法,如按本方法计算,应明确被检验两组样本是否属于方差不齐,即首先应进行齐性检验确定其性质,然后进行t检验。
一、 两个方差的齐性检验
前面已经讲过,当两个样本均数进行比较时,要求相应的两组总体方差相等,即方差齐。但是,即使两组总体方差相等,两组样本方差也会由于抽样误差的影响而不相等。检验两组样本方差不等是否由于抽样误差所致,可用方差齐性检验,也就是检验σ21与σ22是否相等。方法用F检验,统计量F值按公式计算:

式中s21为较大样本的方差,s22为较小样的方差,相应的自由度分别为n′1和n′2,相应的样本含量分别为n1和n2。由于恒取s21>s22,故F值必然大于1,求得F值后查F界值表(方差齐性检验用表,表376),得P值(F值愈大,P值愈小),作出结论。
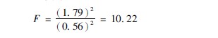
示例377测得10名健康人和50例烧伤病人早期的RBC均值(1)和标准差(S),检验两组数据方差是否为齐性。
【解题步骤】
1建立检验假设,确定显著水准:①健康人:n=10, x1=621×109/L,s1=179×109/L;②烧伤病人:n=50,x1=434×109/L,s2=056×109/L。
H0:两总体方差相等,即σ21=σ22; H1:两总体方差不等,即σ21≠σ22;α=005
2计算检验统计量:按公式3710计算,得:

3确定P值,做出推断结论:以n′1=10-1=9,n′2=50-1=49,查F界值表(表376)。因1022>233(n′2=60),P<005,按α=005水准拒绝H0,接受H1,故可认为两总体方差不齐。
二、t′检验
若两个总体的方差不齐时,即σ21≠σ22时,两小样本均数的比较,可选择以下方法:①采用适当的变量变换,使之达到方差齐的要求;②采用不要求方差齐的方法比较其分布,如秩和检验;③采用近似法t′检验,由于t′不服从t分布,故需要按公式(3710)求界值t(系近似值)。公式分别为:

当确定检验水准α后,公式3712中的tα·n′1和tαn′2即可按n′1和n′2由表375查得,s2x1、s2x2分别为两均数的标准误的平方和。
仍以示例376为例:由于已知两者方差不齐,试比较两者均数有无差异。
H0:μ1=μ2;H1:μ1≠μ2;α=005。

n′1=10-1=9,n′2=50-1=49。查t界值表(表371),得t0059=2262,t00549=2009。

今t′>t′005,则P<005,按α=005水准拒绝H0,接受Hl,故可认为两组的均数不等,烧伤病人RBC的均数大于健康者。











