第二节 相关系数的计算
作者:徐荣祥 出版社:中国科学技术出版社 发行日期:2009年7月
一、小样本计算法
示例391测得8例烧伤病人的血浆白蛋白与胶体渗透压数值(表391),确定它们之间是否存在直线关系?

【解题步骤】
1根据表391中的数字,以横坐标表示血浆白蛋白(x),纵坐标表示渗透压(y),绘成散点图(示图391)。从所绘制的图中可以看出,这些点子基本呈直线趋势。

2列相关系数计算表(表392)

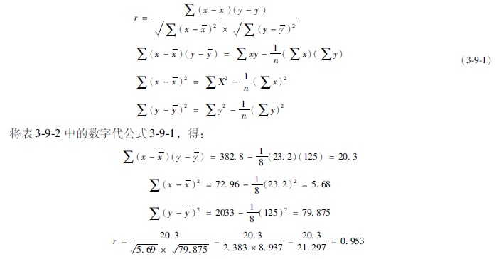
3计算r值:根据以下公式计算r值。

4结论:r为0953,表示血浆胶体渗透压随血浆白蛋白浓度的增加而上升。
二、大样本分组资料计算法
因为大样本的原始资料较多,应先编制相关的频数表,再用简捷法计算均数(x)。相关频数制表方法与单变量频数表相似,所不同的是单变量频数表只按一种变量x分组,而相关频数表有两个变量(x、y),取一个变量(x)为纵标目,另一个变量(y)为横坐标目。纵标目由左到右、由小到大写在表的上端;横标目自上到下、由小到大写在表的左侧。然后划记,接每对数据记在纵横标目相交处,计算各组段的频数,将纵行的总计写在下面的fx横行内,将横行的总频数写在fy纵行内。然后参照计量资料指标的描述章节平均数的简捷法,分别求x、y的简捷值(x、fx),进行运算。
示例392某医生测量了40例早期大面积烧伤病人的血浆黏度(CP),观察结果汇入表393中,试求烧伤面积与血浆黏度之间相关系数?

【解题步骤】
(1)作相关计算表(表393):先将资料按烧伤面积(竖行)和血浆黏度(横行)填入表中,再将竖行与横行相交的病例数(频数)填入相应之交叉处。如“~40%”TBSA组段血浆黏度在“16~”段处有1例,即在此处填1,余仿此。
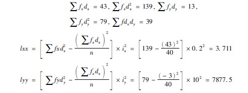
(2)参照平均数值及标准差的简捷法,分别求出x及y的dx简化值(dx、dy)、∑fxdx、∑fydy、 ∑fxd2x及fyd2y,填入表的响应位置(注:∑fx=∑fy,本例均为40)。
(3)表中∑fdx的计算方法:各小格的频数(f)乘相应的dx,再将各乘积相加。如y为“~70”段的行内,∑fdx =4×0+1×1+1×2+1×4=7;y=“~90”段行内,∑fdx=1×(-1)+2×0+1×1+3×2+2×3+1×4=16。(注:∑fdx的总计应等于∑fxdx ,本例皆为43)。
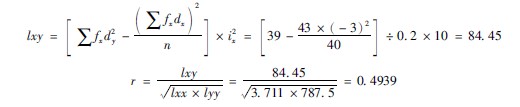
(4)∑fdxdy的计算:为各行的∑fdX与dy相乘之积。
(5)求r值:因本例为大样本资料,不能直接代入小样本r公式,需采用分组公式计算r:
①求离均差平方和与离均差积和:
求离均差平方和(lxx,lyy):离均差积和(lxy);
本例n=40,x组距ix=02,y组距iy=10;


(5)结论:因r值为0494,说明烧伤早期血浆黏度随烧伤面积的增大而上升。
三、相关系数的显著性检验
上述两例的相关系数均是根据样本资料计算出来的。和其他统计量一样,根据样本资料计算出来的相关系数也必然受到抽样误差的影响。也就是说,从相关系数为0的总体 (即无线性相关)中随机抽样也可能抽到|r|>0的样本。因此,通过计算得到相关系数后,还不能根据|r|的大小对x、y关系的密切程度作出判断,需要进行r显著性检验,以便估计算得的r由抽样误差(即相关系数为0的总体)引起的可能性有多大。如果从相关系数为0的总体中随机抽得样本r的机会较大(P>005),则样本r很可能抽自r为0的总体,两者差别无显著意义;此时即使|r|值比较大,也不能认为x与y有相关关系。反之,如果从相关系数为0的总体中随机抽取得到如此大的样本r的机会较小 (P≤005),则认为此样本r很可能不是抽自r为0的总体,两者(样本r和总体)相差显著。此时即使|r|比较小,我们也认为x与y有相关关系。只有相关有显著意义时,我们才能根据相关系数绝对值的大小来说明x与y相互关系的密切程度。
相关系数的显著性检验可用t检验法和查表法确定:

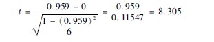
1以示例391为例,计算t值,得:

本例自由度为(n′)为6, P005界值为2447,P001界值为3707,本例t=8305,不仅大于2447,也大于3707,故P<001,即相关系数非常显著。
2以示例392为例,计算t值,得:

本例自由度(n′)为38, P005界值为2024,P001界值为2712,P0001界值为3566,本例t=350,大于2024和2712,但小于3566,故P<0001,即相关系数非常显著。









