第四节 两个样本均数的t检验
作者:徐荣祥 出版社:中国科学技术出版社 发行日期:2009年7月
在医学研究中,经常比较两个组的平均数相差有无显著意义,同样也采用t检验方法,但与上题不同的是应计算各自的平均数,而不用它们之间差数的平均值。两组样本例数可以相等,也可以不相等。计算公式为:

式中x1与x2为两个样本的平均数,sx1-sx2为两均数标准差的标准误。计算公式为:

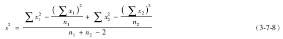
式中的n1和n2代表组1和组2的个样本例数,s2是合并标准差的平方。为了计算方便,先以公式求出合并标准差的平方(s2):

示例375某医生研究中度烧伤病人和健康人的白细胞计数,资料于下(表372)。问他们之间有无统计学差异?

【解题步骤】
1建立假设和显著水准(α):设H0:健康人与中度烧伤病人WBC的总体均数u1和u2之间相同,即μ=0; H1:μ≠0; α=005。
2根据以上t检验公式计算t值:


3结论:中等面积烧伤病人的WBC均数与健康人相比,组间无统计学差异。









