第五节 两个较大样本均数的μ检验
作者:徐荣祥 出版社:中国科学技术出版社 发行日期:2009年7月
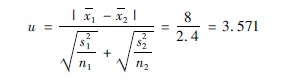
当两个样本数量较大时(即两组样本皆大于50),不必查t值表,可采用μ检验方法。其公式为:

示例376某医生对100例重度烧伤病人和100名健康者的血清钠检查结果进行统计分析,资料汇于下(表374)。问组间有无显著性意义?

【解题步骤】
1建立无效假设和确定显著水准:H0:健康组与烧伤组血钾均数相同,μ1=μ2;H1:μ≠0;α=005。
2计算u值:

3计算自由度:(100+100)-2=198,当n′=198时,t005≌1972,t001≌2345,t0001≌3340,今t=3571,即大于2345,也大于3340,则P<0001。
4结论:重度烧伤病人与健康人比较,血钠水平下降具有显著性差异。









